Sele
Registrierter Benutzer
- Zuletzt hier
- 12.04.26
- Registriert
- 03.08.04
- Beiträge
- 8.093
- Kekse
- 40.401
- Ort
- Schleswig-Holstein
Vorwort
Die E-Gitarre ist seit Jahrzehnten ein fester Bestandteil der populären Musik. Im Internet existieren zahlreiche Erklärungen zur Funktionsweise der E-Gitarre, zum Ursprung ihres Sounds sowie zur Frage, inwiefern das verwendete Holz den Klang beeinflusst. Physikalische Aspekte werden häufig diskutiert, sollen jedoch an dieser Stelle nicht weiter vertieft werden. Stattdessen folgt hier eine kompakte Übersicht über die Elektronik von E-Gitarren, unterstützt durch elektrotechnische Praxisbeispiele. Hörbeispiele werden in diesem Kontext nicht behandelt. Der Fokus liegt auf drei Pickup-Typen: dem klassischen Humbucker, sowie den S-Type- und T-Type-Singlecoils. Wenn ich also von Singlecoil nachfolgend rede, sind diese Typen gemeint. Ich werde versuchen es möglichst verständlich zu halten, werde jedoch Fachtermini nutzen.Der Tonabnehmer
Der Tonabnehmer, genauer gesagt der passive elektromagnetische Tonabnehmer, wie wir in der E-Gitarre seit Jahrzehnten finden, ist für sich genommen eine recht simple Konstruktion, aber auch simple Konstruktionen lassen sich manchmal schwieriger erklären als man zunächst denkt. Der Single Coil, als einfachste Form, besteht aus 6 nebeneinanderliegenden zylinderförmigen Magneten. Um die äußeren beiden zylinderförmigen Magnete wird ein Lackdraht gewickelt. Der Lackdraht besitzt typischerweise eine Stärke zwischen 0,06 mm und 0,07 mm, wobei der Lack als elektrische Isolierung dient. Der Lackdraht wird rund 8000-mal um die beiden äußeren Magnete gewickelt. Man würde daher sagen der Tonabnehmer besitzt eine Wicklung mit circa 8000 Windungen.Die Rund 8000 Windungen des Lackdrahts bilden nicht nur eine Wicklung, sondern eine elektromagnetische Spule. Jede Spule besitzt eine Induktivität, also eine Fähigkeit, ein Magnetfeld aufzubauen und Änderungen dieses Magnetfelds in elektrische Spannung umzuwandeln.
Im Tonabnehmer passiert genau das:
- Die sechs Magnete erzeugen ein statisches Magnetfeld
- Die Saite aus ferromagnetischem Material befindet sich in diesem Feld
- Sobald die Saite schwingt, verändert sie das Magnetfeld
- Die Spule mit ihren vielen Windungen „reagiert“ auf diese Änderung und erzeugt eine elektrische Spannung
Durch die Lackisolierung des Drahts und die vielen übereinanderliegenden Windungen entsteht zusätzlich ein kapazitiver Anteil innerhalb der Spule. Dieser liegt zwar nur im Bereich weniger Picofarad und ist damit vergleichsweise klein, spielt aber zusammen mit der Induktivität eine entscheidende Rolle: Beide bilden einen Schwingkreis, dessen Resonanzfrequenz den charakteristischen Klang eines Tonabnehmers prägt.
Um einen Tonabnehmer angemessen zu charakterisieren, sind mindestens die Induktivität (L), Kapazität (C) und der elektrische Widerstand (R) erforderlich. Letzterer wird von Tonabnehmerherstellern häufig als „Kiloohm“ (kΩ) Angabe veröffentlicht. Die einfachste Ersatzschaltung eines Tonabnehmers basiert auf diesen Parametern und bietet bereits eine solide Grundlage für Modellierungen. Für realistische Aussagen müssen zusätzlich das Umfeld des Tonabnehmers berücksichtigt werden, darunter Potentiometer, Kondensatoren, Gitarrenkabel und der Verstärkereingang.
Im Folgenden erläutern wir, warum dieser Aspekt von Bedeutung ist. Es handelt sich um eine Schaltung mit einer Spannungsquelle (U), einer Induktivität (L), einem Widerstand (R) und einer Kapazität (C).
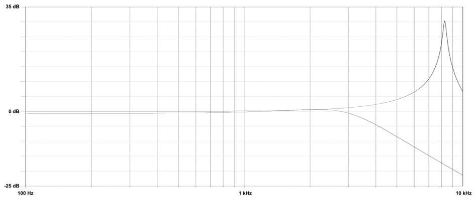
Die Resonanzüberhöhung des Schwingkreises beträgt 30 dB und liegt außerhalb des zu erwartenden Bereichs. In der Praxis wird ein Pickup jedoch stets zusammen mit Potentiometern, Kabeln und Verstärkereingang betrieben; dies sollte berücksichtigt werden. Der Verstärkereingang wird als rein resistiv betrachtet, was eine angemessene Vereinfachung darstellt, da der Fokus auf dem Tonabnehmer liegt. Das Kabel wird als rein kapazitiv angenommen und die beiden Potentiometer werden als parallele Widerstände zusammengefasst. Sind beide Potentiometer vollständig geöffnet, bilden sie eine Parallelschaltung zweier Widerstände. Die Annahmen für die Bauteilwerte sind: R2 mit 125 kΩ, R3 mit 1 MΩ und C2 mit 470 pF. Diese Werte entsprechen typischen Realbedingungen. Die Wahl von 125 kΩ resultiert aus der Parallelschaltung zweier identischer Widerstände, was zu diesem Wert führt und somit physikalisch nachvollziehbar ist.
Sehen wir uns von dieser nun den Frequenzgang beider Schaltungen einmal an, stellen wir fest: Ja die Belastung des Tonabnehmers führt dazu das a) die Resonanzfrequenz tieferrutscht und b) Resonanzüberhöhung nun deutlich geringer ausfällt.
Tonabnehmer messen und charakterisieren
Um die Tonabnehmer zu charakterisieren, d.h. ihren Frequenzgang zu ermitteln, gibt es verschiedene Ansätze. Manfred Zollner nutzt in seinem Buch „Physik der Elektrogitarre“ u.a. eine Erregerspule, um damit eine Änderung im Magnetfeld des Tonabnehmers zu erzeugen. Eine solche Messapparatur habe ich ebenfalls schon mehrmals genutzt. Dabei wird die Erregerspule auf den Tonabnehmer gelegt und der Ausgang des Tonabnehmers belastet. Ich nutze dazu 200 kΩ und 470 pF. Nachgeschaltet wird ein Integrator. Die Erregerspule wird an einen Signalgenerator angeschlossen und der Integrator wird an ein Oszilloskop angeschlossen. Das sehen wir in der nachfolgenden Abbildung als Blockbild dargestellt.
Eine weitere zulässige und besonders praxistaugliche Methode – vorausgesetzt, es treten keine nennenswerten Wirbelstromverluste auf – besteht darin, die elektrischen Parameter des Tonabnehmers direkt zu messen, ohne eine Erregerspule einzusetzen. Helmut Keller hat hierzu mit dem Pickup Wizzard ein gelungenes Konzept entwickelt. Sofern die jeweiligen Grenzen dieser Methode bekannt sind und richtig eingeordnet werden, bietet sie eine komfortable Möglichkeit, einen Tonabnehmer unmittelbar in der Gitarre zu analysieren: Die Messapparatur wird einfach an den Klinkenausgang angeschlossen, woraufhin die relevanten elektrischen Kenngrößen direkt erfasst werden.
Ein Beispiel der beiden Messverfahren an einem T-Style Stegtonabnehmer demonstriert.
Zwei Gitarren, zwei Klänge, gleiche Elektronik
Jetzt wird es doch noch etwas esoterisch oder etwas philosophisch: Ich höre immer wieder in Foren oder auf YouTube das Argument, das man aus Erfahrung weiß, dass zwei Gitarren aus dem gleichen Holz und der gleichen Hardware und Elektronik doch anders klingen.
Was das Übertragungsverhalten u.a. beeinflusst, sind nach Manfred Zollner:
- Tonabnehmerposition
- Stärke des statischen Magnetfelds
- Spulenposition und deren Geometrie
- Reversible Permeabilität
- Tonabnehmerimpedanz
- Kapazitive Belastung
- Resistive Belastung durch Potentiometer und Verstärker
- Magnetische Apertur
- Saite und auf die Saite ausgeübte Kraft
Ich hatte vorher die Potentiometer durch Widerstände ersetzt. Typischerweise fungieren die Lautstärke Potentiometer als Spannungsteiler in der Schaltung. Und der Spannungsteiler wird über die Potentiometer Stellung geändert. Wie stark nach Drehwinkel hängt von seiner Kennlinie (engl. Taper) ab. Typischerweise findet man in dieser Stelle Potentiometer mit Linearer oder Logarithmischer Kennlinie. Die Lineare ist recht einfach erklärt: Potentiometer um die Hälfte zurückgedreht und ist der Widerstand ebenfalls um die Hälfte der gegenüber der Maximalstellung gesunken. Bei Logarithmischer Kennlinien findet man in Datenblättern zusätzlich noch einen prozentualen Wert, der angibt wieviel Prozent des Widerstands bezogen auf die Maximalstellung bei 50% Drehweges vorhanden sind. So findet man bei Hersteller zum Beispiel 5%, 10%, 15%, 20%, 25% und 30%.
Das lässt sich auch wunderbar nachmessen an Potentiometern, wie die nachfolgende Abbildung ganz gut zeigt.
Der Zusammenhang hat tatsächlich eine gewisse Auswirkung auf die Interaktion zwischen spielende Person, Gitarre und Hörereignis. Zum einen kommt es zu einer Dämpfung der Resonanzspitze, was wir als „die Höhen gehen verloren“ häufig von der Gitarre spielenden beschrieben hören. Das sehen wir am Beispiel eines 85/15 TCI-Tonabnehmers im nachfolgenden Bild dargestellt.
Beim blauen Graph wurde ein Potentiometer bei 50% des Regelwegs mit einem 30% Logarithmischen Potentiometer simuliert. Beim orangenen Graph wurde ein Potentiometer bei 50% des Regelwegs mit einem 5% Logarithmischen Potentiometer simuliert. Und die Höhen werden damit abgesenkt. Das weiß man als Gitarrenbauer und deswegen findet man in einigen Modellen auch einen zusätzlichen Kondensator oder Widerstand am Lautstärke Potentiometer der häufig dann als Treble Bleed bezeichnet wird und den „Höhenverlust“ verhindert. Findet man unter anderem auch bei PRS, ist hier aber nicht dargestellt.
Aber nicht nur die Höhen, sondern auch die Amplitude, es wird eben leiser. Wenn man nun Gitarren mit den gleichen Tonabnehmern vergleicht, zwei unterschiedliche Logarithmische Potentiometer verwendet, würde man zum Trugschluss kommen das der eine Tonabnehmer „schwächer“ wäre, es ist aber nur eine andere Potentiometer Kennlinie. Man kann sich dies auch zu Nutze machen um einer Gitarre einen mehr „Vintage-Vibe“ zu geben.
Zusammenfassung
Wie man sieht, habe ich mich darauf beschränkt die Gitarrenelektronik auf das wesentliche zu reduzieren. Ich habe bewusst Details wie „Treble Bleed“-Schaltungen, Anschlussvarianten wie 50s/Modernwiring, etc. ausgenommen. Genauso ausgenommen habe ich aber auch, wie früher Tonabnehmer gebaut wurden, aus welchen Materialien sie sind und so weiter, da ich mich auf das Übertragungsverhalten konzentrieren wollte. Auch wenn Hersteller inzwischen z.T. Materialkopien herstellen, so ist manchmal schon die Frage aufzuwerfen, inwieweit dies noch einen Einfluss auf das Übertragungsverhalten hat. Natürlich kann man sagen: Alles hat einen Einfluss, aber wirklich einmal nachgemessen und veröffentlichen tut es am Ende keiner.Auch spärlich veröffentlicht werden Tonabnehmerdaten, die ich zur modellhaften Gegenüberstellung des Tonabnehmerübertragungsverhaltens genutzt habe. Das macht es auch beim Kauf schwierig die Tonabnehmer zu vergleichen und den passenden herauszusuchen. Am Ende des Tages sind die Unterscheide vielleicht auch gar nicht mehr so groß unter den Herstellern, denn es hängt ja nur von den genannten Parametern ab und betrachtet man welche Spulenkörper, Wickeldrähte eingesetzt werden ist die Anzahl der nicht homöopathischen Varianten auch endlich. Vielleicht kam GiTec vor ein paar Jahren beim Vergleich eines bestimmten Humbucker Typs unterschiedlicher Hersteller deswegen auch zum Schluss das alle so ähnlich sind das ein Unterschied kaum hörbar sei. In diesem Sinne: Rock’n’Roll!
Grund: Änderung der Schriftgröße
Zuletzt bearbeitet:
